首页>新东方职业教育>教师资格>

2021上半年《数学初中学科知识与教学能力》笔试真题及答案

2021-09-16 09:54新东方考研真题解析

  2021上半年教师资格证考试《初中数学》答案

  一、单项选择题(本大题共15小题,每小题3分,共45分)

  1.单选题在空间直角坐标系下,直线与平面3x- 2y-z+15=0的位置

  关系是()。

  A.相交且垂直

  B.相交不垂直

  C.平行

  D.直线在平面上

  参考答案:D


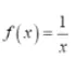
  2.使得函数一致连续的x取值范围是()。

  A.(0.1)

  B.(0.1]

  C.

  D.(-∞,+∞)

  参考答案:C


  3.单选题方程的整数解的个数是()。

  A.0

  B.1

  C.2

  D.3

  参考答案:C


  

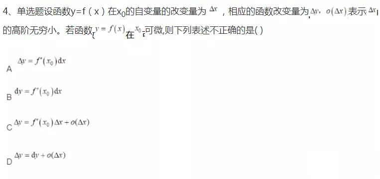
  参考答案:A


  5.抛掷两粒正方体骰子(每个面上的点数分别为1, 2, .... 6),假定每个面朝上的可能性相同,观察向.上的点数,则点数之和等于5的概率为().

  

  参考答案:B


  

  参考答案:A


  7.一个五边形与其经过位似变换后的对应图形之间不满足下列关系的是( )

  A对应线段成比例

  B对应点连线共点

  C对应角不相等

  D面积的比等于对应线段的比的平方

  参考答案:C


  

  参考答案:B


  点击返回》》2021上半年教师资格证历年真题及答案【汇总】

官方企微:新东方教资考试 (jzks1784

教资免费好课,最新资讯,海量科目资料!
扫描左侧二维码,进群免费领取!

相关推荐

首页 中考 高考 考研 四六级 留学 托福 雅思 GRE GMAT SAT ACT 小学 英语 学前