2021上半年《数学高中学科知识与教学能力》真题及答案
2021-09-16 11:35新东方考研真题解析
2021上半年高中数学教师资格证考试真题及答案
一、单项选择题(本大题共8小题,每小题5分,共40分)

参考答案:C
参考答案:A
3、方程的整数解的个数是
A.0
B.1
C.2
D.3
参考答案:C

参考答案:C
5、抛掷两粒正方体骰子(每个面上的点数分别为1,2,....,6),假定每个面朝上的可能性相同,观察向上的点数,则点数之和等于5的概率为()
A.5/36
B.1/9
C.1/12
D.1/18
参考答案:B

参考答案:B
7、《普通高中数学课程标准 (2017年版2020年修订)》中明确提出的数学核心素养不包括()
A.数据分析
B.直观想象
C.数学抽象
D.合情推理
参考答案:D
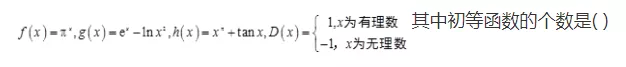
8、下列函数:
A.1个
B.2个
C.3个
D.4个
参考答案:C
点击返回》》2021上半年教师资格证历年真题及答案【汇总】
相关推荐